发布时间:2019-07-22 17:40:19编辑:auto阅读(3513)
December 19, 2015 10:56 PM
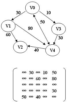
Floyd算法是解决任意两点间的最短路径的一种算法,可以正确处理带权有向图或负权的最短路径问题
解决此问题有两种方法:
其一是分别以图中每个顶点为源点共调用n次算法;
其二是采用Floyd算法。
两种算法的时间复杂度均为O(n3),但后者形式上比较简单。
Floyd算法的基本思想:
1. 利用二维数组dist[i][j]记录当前vi到vj的最短路径长度,数组dist的初值等于图的带权邻接矩阵;
2. 集合S记录当前允许的中间顶点,初值S=Φ;
3. 依次向S中加入v0 ,v1… vn-1,每加入一个顶点,对dist[i][j]进行一次修正:设S={v0 ,v1… vk-1},加入vk,则dist(k)[i][j] = min{ dist(k-1)[i][j],dist(k-1)[i][k]+dist(k-1)[k][j]}。dist(k)[i][j]的含义:允许中间顶点的序号最大为k时从vi到vj的最短路径长度。
dist(n-1)[i][j]就是vi到vj的最短路径长度。

最短距离有三种情况:
1、两点的直达距离最短。
2、两点间只通过一个中间点而距离最短。
3、两点间用通过两各以上的顶点而距离最短。
对于第一种情况:
在初始化的时候就已经找出来了且以后也不会更改到。
对于第二种情况:
弗洛伊德算法的基本操作就是对于每一对顶点,遍历所有其它顶点,看看可否通过这一个顶点让这对顶点距离更短
对于第三种情况:
如下图的五边形,可先找一点(比如x,使=2),就变成了四边形问题,再找一点(比如y,使=2),可变成三角形问题了(v,u,w),也就变成第二种情况了,由此对于n边形也可以一步步转化成四边形三角形问题。(这里面不用担心哪个点要先找哪个点要后找,因为找了任一个点都可以使其变成(n-1)边形的问题)。

#Floyd.py
#王渊
#2015.12.17
#Email:wyxidian@gmail.com
from pylab import *
INFINITY = 65535 #代表无穷大
D = array([[0,10,INFINITY,INFINITY,INFINITY,11,INFINITY,INFINITY,INFINITY],#邻接矩阵
[10,0,18,INFINITY,INFINITY,INFINITY,16,INFINITY,12],
[INFINITY,18,0,22,INFINITY,INFINITY,INFINITY,INFINITY,8],
[INFINITY,INFINITY,22,0,20,INFINITY,INFINITY,16,21],
[INFINITY,INFINITY,INFINITY,20,0,26,INFINITY,7,INFINITY],
[11,INFINITY,INFINITY,INFINITY,26,0,17,INFINITY,INFINITY],
[INFINITY,16,INFINITY,24,INFINITY,17,0,19,INFINITY],
[INFINITY,INFINITY,INFINITY,16,7,INFINITY,19,0,INFINITY],
[INFINITY,12,8,21,INFINITY,INFINITY,INFINITY,INFINITY,0]])
lengthD = len(D) #邻接矩阵大小
p = list(range(lengthD))
P = []
for i in range(lengthD):
P.append(p)
P = array(P)
for i in range(lengthD):
for j in range(lengthD):
for k in range(lengthD):
if(D[i,j] > D[i,k]+D[j,k]): #两个顶点直接较小的间接路径替换较大的直接路径
P[i,j] = P[j,k] #记录新路径的前驱
print(P)
print(D)
上一篇: python脚本生成html
下一篇: windows/linux环境pytho
52715
52634
42785
39652
34027
30990
29785
24677
24518
22898
264°
267°
327°
315°
358°
512°
488°
506°
578°
506°